https://www.acmicpc.net/problem/14501
14501번: 퇴사
첫째 줄에 백준이가 얻을 수 있는 최대 이익을 출력한다.
www.acmicpc.net
* 이 문제를 풀기 위해선 점화식을 알고 가야한다.

https://www.acmicpc.net/problem/13699
13699번: 점화식
다음의 점화식에 의해 정의된 수열 t(n)을 생각하자: t(0)=1 t(n)=t(0)*t(n-1)+t(1)*t(n-2)+...+t(n-1)*t(0) 이 정의에 따르면, t(1)=t(0)*t(0)=1 t(2)=t(0)*t(1)+t(1)*t(0)=2 t(3)=t(0)*t(2)+t(1)*t(1)+t(2)*t(0)=5 ... 주어진 입력 0 ≤ n
www.acmicpc.net
//dp[i] += dp(dp[j] * dp[i-1-j]);
//j = 0 ~ (i-1)
long dp[] = new long[36];
dp[0] = 1;
dp[1] = 1;
for(int i = 2; i < 36; i++) {
for(int j = 0; j < i; j ++) {
dp[i] += (dp[j] * dp[i-1-j]);
}
}
int count = 0;
for(long d : dp) {
System.out.println(count + " : " + d);
count++;
}
<주의>
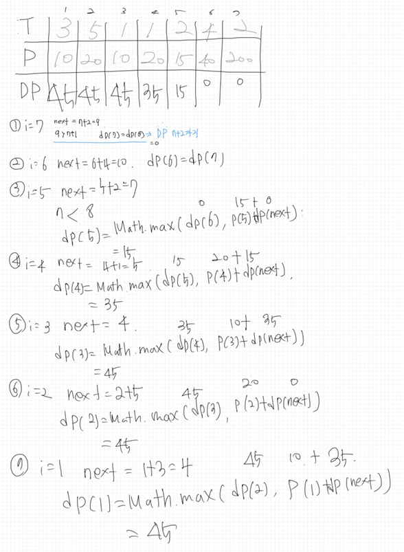
상담 날짜의 끝나는 날 기준으로 계산, 뒤에서 부터 시작해야 한다.
이런 계산식의 문젠는 손으로 써보면 이해가 확실히 잘된다!!

import java.io.BufferedReader;
import java.io.IOException;
import java.io.InputStreamReader;
import java.util.StringTokenizer;
public class Main {
public static void main(String[] args) throws NumberFormatException, IOException {
BufferedReader br = new BufferedReader(new InputStreamReader(System.in));
StringTokenizer st = new StringTokenizer(br.readLine());
int N = Integer.parseInt(st.nextToken());
int[] time = new int[N+1];
int[] pay = new int[N+1];
int[] dp = new int[N+2];
for(int i = 1; i <= N; i++) {
st = new StringTokenizer(br.readLine());
time[i] = Integer.parseInt(st.nextToken());
pay[i] = Integer.parseInt(st.nextToken());
}
int day = N+1;
for(int i = N; i > 0; i--) {
int next = time[i] + i; // 일 끝나는 시간
if(next > day) dp[i] = dp[i+1];
else {
dp[i] = Math.max(dp[i+1], pay[i]+dp[next]);
}
}
System.out.println(dp[1]);
}
}'코딩테스트 > baekjoon' 카테고리의 다른 글
| [baekjoon]회의실 배정 JAVA (0) | 2022.11.24 |
|---|---|
| [beakjoon] 드래곤 커브 JAVA (0) | 2022.11.10 |
| [baekjoon] 로봇 청소기 JAVA (0) | 2022.11.09 |
| [baekjoon] 주사위 굴리기 JAVA (0) | 2022.11.08 |